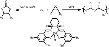
This comprehensive tutorial review focuses on well-defined cobalt complexes that serve as homogeneous catalysts for the production of polycarbonates and cyclic carbonates from the coupling of carbon dioxide and epoxides. Special considerations are given to the mechanistic pathways involved in these processes.
Adsense
Raji Chem World Search Engine

Custom Search
Find the Properties of Chemicals
Nature Chemistry
Nature Chemistry
Adsense
Nature Chemistry
Friday, February 3, 2012
Cobalt catalysts for the coupling of CO2 and epoxides to provide polycarbonates and cyclic carbonates
This comprehensive tutorial review focuses on well-defined cobalt complexes that serve as homogeneous catalysts for the production of polycarbonates and cyclic carbonates from the coupling of carbon dioxide and epoxides. Special considerations are given to the mechanistic pathways involved in these processes.
Labels:
Cobalt,
Green Chemistry,
Review
Subscribe to:
Post Comments (Atom)
No comments:
Post a Comment