Raji Chem World
Save the World By Green Chemistry
Adsense
Raji Chem World Search Engine
Custom Search
Find the Properties of Chemicals
Nature Chemistry
Loading...
Nature Chemistry
Loading...
Adsense
Nature Chemistry
Loading...
Thursday, October 30, 2014
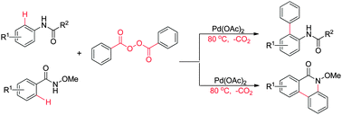
A highly efficient Pd-catalyzed decarboxylative ortho-arylation of amides with aryl acylperoxides
DOI:
10.1039/C4CC06457G
No comments:
Post a Comment
Newer Post
Older Post
Home
View mobile version
Subscribe to:
Post Comments (Atom)
Adsende
Science: Current Issue
Loading...
Angewandte Chemie
Loading...
Advanced Synthesis & Catalysis
Loading...
Chemistry - A European Journal
Loading...
European Journal of Organic Chemistry
Loading...
Chemical Reviews
Loading...
Journal of the American Chemical Society
Loading...
The Journal of Organic Chemistry
Loading...
Organometallics
Loading...
Organic Letters
Loading...
RSC - Chem. Sci. latest articles
Loading...
ACS Catalysis: Latest Articles (ACS Publications)
Loading...
RSC - Chem. Sci. latest articles
Loading...
RSC - Chem. Commun. latest articles
Loading...
RSC - RSC Adv. latest articles
Loading...
Science Magazine Podcast
Loading...
No comments:
Post a Comment